It does this by halving and doubling the numbers you are trying to multiply since halving and doubling convert all numbers into multiples of 2 or into factors of numbers that are divisible by 2. Vector or cross product of two vectors definition.

Maths Cross Multiplication Method Pair Of Linear Equations In Two Variables Part 4 English Youtube

Cbse Class 10 3 Cross Multiplication Method With Examples And Numericals In Hindi Offered By Unacademy

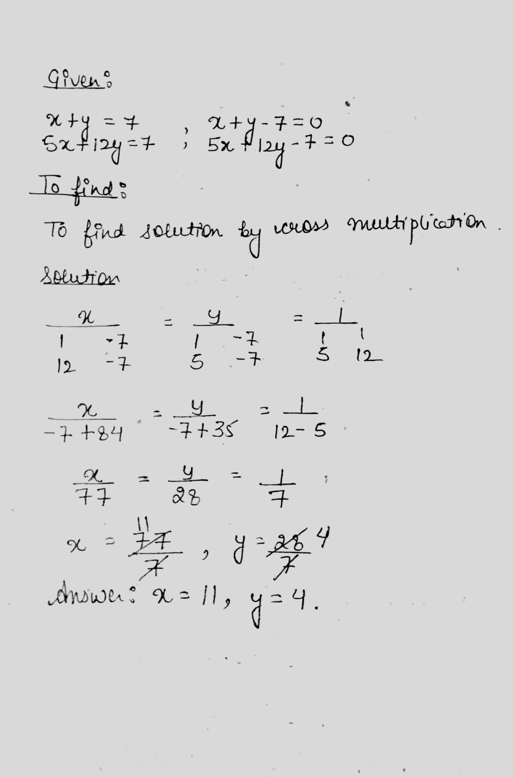
Solve Of The Following Pairs Of Linear Equations By Using Cross Multiplication Method X Y 7 5x 12y 7 Snapsolve
Enter the given coefficients of Vectors X and Y.

Cross multiplication method. Cross product of two vectors is the method of multiplication of two vectors. Cross out all the rows where the left number is even. 1 Napiers Bones is a method of multiplication that is named after the polymath John Napier 15501617.
We can only multiply matrices if the number of columns in the first matrix is the same as the number of rows in the second matrix. Compare 3 7 and 5 8 using cross-multiplication. Why use the cross-multiplication technique.
The answer is that the cross-multiplication technique need not be used in isolation. Cementing knowledge in these areas is crucial for a number of reasons. Exercise - Earn a trophy for completing 12 multiplication questions using the column method.
Add the remaining numbers in the second column. While long multiplication has become more popular than the lattice method some mathematicians find the latter easier to use. And doubling the second.
It is one of the basic arithmetic operations that we use in everyday life. For more multiplication games click here. Hence the answer becomes.
Unlike fractions can be compared using cross-multiplication. The major application we can see in multiplication tables. These numbers can be whole numbers natural.
A Multiplying a 2 3 matrix by a 3 4 matrix is possible and it gives a 2 4 matrix as the answer. Write it at the hundreds place and cross out the 3 hundreds that have been used. Solving quadratic equations by quadratic formula.
The vector cross product calculator is pretty simple to use Follow the steps below to find out the cross product. We can multiply 2-digit numbers by 2-digit numbers using column method area model or lattice method. This is a common procedure in mathematics used to reduce fractions or calculate a value for a given variable in a fraction.
It is a binary vector operation defined in a three-dimensional system. Nature of the roots of a quadratic equations. In mathematics multiplication is a method of finding the product of two or more numbers.
A 2 -A 1 A 4. We do it by changing the denominators to the product of both the denominators. Multiplication and division can be introduced in its most basic form at the earliest opportunity so that children can begin to familiarise themselves with these key operations.
Cross multiplying is a way to solve an equation that involves a variable as part of two fractions set equal to each other. Video games are fast becoming the preferred method of many parents and teachers to help foster education and learning both at home and in the classroom. Then the value of A 2 can be found by using the expression obtained using cross-multiplication A 1 A 2 A 4 0 or.
A cross product is denoted by the multiplication signx between two vectors. Cross-multiplication is a shortcut an easily understandable procedure that can be taught to students. Solving linear equations using cross multiplication method.
With 3-minute math questions themed math activities and much more students come to discover the fun in multiplication. Solving one step equations. Practise the grid method of multiplication with this versatile bumper pack of worksheetsIn this pack youll find a set of 10 questions already written in a grid and 40 questions to practise with a blank template if required for each size of calculationPractice makes perfect and this resource will help your students perfect the grid method of multiplicationThese helpful.
Answer the multiplication questions to slow the traffic then see how many roads you can cross before your time is up. To practice multiplication there are ample of games in SplashLearn website. More Arithmetic including lesson Starters visual aids investigations and self-marking exercises.
Both factors are broken up partitioned into their hundreds tens and units parts and the products of the. This begs the question. Multiplication forms the building block for.
Level 8 - Mixed multiplication questions that get very hard indeed. The Russian peasant method works because it converts the problem into binary base 2 multiplication rather than base 10 which standard multiplication uses. Click on the Get Calculation button to get the value of cross product.
The result is the product of the first two numbers. In arithmetic the multiplication of two numbers represents the repeated addition of one number with respect to another. Comparing fractions using cross-multiplication.
In Maths cross multiplication method is used to solve linear equation in two variables. Multiplication or Division. A b jajjbjsin n where n is a unit vector in a direction perpendicular to both a and b.
Cross multiplication is only applicable when we have a pair of linear equations in two variables. It can be difficult when learning a new topic so this short multiplication KS2 worksheet pack is a brilliant way to get children used to the short written method for multiplication. Continue until there is nothing left to halve.
Each individual short multiplication KS2 worksheet contains a number of differentiated questions that should hopefully challenge your pupils a little without being too hard on them especially if multiplication is. Multiplication drill worksheets and printables improve early math skills and remove the intimidation factor from the equation. Multiplication drill worksheets and printables help early learners better comprehend multiplication.
The variable is a placeholder for an unknown number or quantity and cross-multiplying reduces the proportion to one simple equation allowing you to. Solving quadratic equations by factoring. The cross product of two vectors is the third vector that is.
I i Make a set of directions with your right handthumb first index finger and with middle finger positioned perpendicular to plane of both. Multiplication Grid Method Multiplication Written Method Ratio and Scaling Numbers Representing Multiplication Division by Chunking Up Division by. This method of multiplication uses a lattice to multiply two multi-digit numbers.
This is the simplest method and gives the accurate value of the variables. To get direction of a b use right hand rule. Complete all of the math challenges correctly and the drawbridge lowers so that you can cross.
Make a table with. Asking for help clarification or responding to other answers. If we have an equation.
The cover-up method can be used to find A 1 A 3 and A 4. In the input boxes. Thanks for contributing an answer to Mathematics Stack Exchange.
Please be sure to answer the questionProvide details and share your research. The grid method or box method is an introductory method for multiple-digit multiplication that is often taught to pupils at primary school or elementary schoolIt has been a standard part of the national primary school mathematics curriculum in England and Wales since the late 1990s. Solving quadratic equations by completing square.
Finally you will get the value of cross product between two vectors along with detailed step-by-step solution. To compare two fractions with different denominators we make their denominators the same.

Solve By Cross Multiplication Method B A X A B Y A 2 B 2 X Y 2ab Maths Pair Of Linear Equations In Two Variables 13335943 Meritnation Com

Class 10 Ex 3 5 Q1 Part Ii Cross Multiplication Method Solving Linear Equations In Two Variables Youtube

Cross Multiplication Method

Solve Of The Following Pairs Of Linear Equations By Using Cross Multiplication Method 2x Y 6 X Y 2 Snapsolve

Cross Multiplying Fractions Video Practice Questions
What Is The Way To Solve A Pair Of Linear Equations In 2 Variables With The Cross Multiplication Method Quora

Ex 3 5 3 Solve By Substitution And Cross Multiplication Teachoo

Cross Multiplication Method Nkanidham My Maths